作为一只药学狗(汪汪汪!!!),药典是我们绕不开的重要宝典!常用的药典有CP(中国药典,不是couple!)、USP(美国药典)、EP(欧洲药典)、BP(英国药典)和JP(日本药典)。药典的内容非常广泛,小编今天选的题目是剂量单位均匀度,主要以USP为主(EP、BP完全一样,和USP差别不大),后面介绍CP(和USP差别较大)。闲话少叙,开整。
一、这玩意是啥!能干啥!能吃不!
剂量单位均匀度并不是中国药典里的概念,来自国外的药典,英文名为Uniformity of dosage units(USP <905>、EP 2.9.40、BP Appendix Ⅻ C.)。说到剂量单位均匀度,我猜你一定想知道什么叫剂量单位(反正我是这样),USP40里面是这么说的:
Dosage units are defined as dosage forms containing a single dose or a part of a dose of drugsubstance in each unit.
翻译过来就是:在单位中含有单个剂量或单个剂量的一部分的活性物质的剂型(Dosage forms,虽然我觉得这里翻译成剂型似乎不是很贴切)。举个栗子:一次剂量你要吃3片,这“片”就是剂量单位。那剂量单位均匀度说的就是在各个剂量单位中含有活性物质量的均匀程度。
USP40:The term “uniformity of dosage unit” is defined asthe degree of uniformity in the amount of the drug substance among dosageunits.
这一批中出来的,张三李四王二麻、他大舅他二舅、桌子板凳木头里面含有的有效成分是不是一致的,均匀的,靠的就是检查其剂量单位均匀度。但是剂量单位均匀度不适用于外用皮肤给药的单位剂量容器中的混悬液、乳状液或凝胶。
二、这玩意咋用啊!
检查的方法有两种,含量均匀度(Content Uniformity,CU)和重量差异(Weight Variation,WV;EP和BP中叫Mass Variation,MV)。这两种方法只需要做一种就可以了(有钱有精力也可以两个都做~)。其中CU适用于所有的情况,WV只适用于一下剂型(注意对号入座!):

这个表太抽象了,USP还给了表!

那具体怎么操作呢?我们先来讲含量均匀度(CU):
首先,需要测东西不能少,30个单位起步,还别嫌多,绝不打折!我们这行就是,不一定要比标准多,但是绝对不能少!!!我们拿出10个单位来,测定每一个的含量,以标示量为100来表示。然后要带入到公式中进行计算:AV = |M –X ̅|+ks,(此AV,Acceptance Value,非彼AV啊!)X ̅是含量的平均值,M是标准值,k是接受常数,s是标准差。每个剂型有不同的具体操作方式,但是整体的思想都是一样的。
重量差异(WV)相对来说方便点:(注意表中哪些才能用WV)选择比较有代表性的样品,测定制剂的含量,这是第一步(你本来也要测含量…);然后还是取30个单位,仍然不还价。取出10个来精密测定重量(一个一个测),注意了,片剂直接测,胶囊是取出内容物(软胶囊用溶液冲下来)用总重-胶囊壳重,各个制剂不同,具体看图吧!然后利用之前测得的含量,和测定的重量计算出每一片的含量(Estimated contents)。

AV= |M –X ̅|+ks,和上面不同的是,这里的是估算含量得到的,单个估算含量,其中,A是含量,是重量的平均值。AV的具体数值还要看M的大小,具体的流程可以看下图:

这里的T值是目标含量值(Target content),除非另有规定,T=100。AV值出来了,就要判定是否符合限度要求了,判定方法还是一个流程图。

除非另有规定,L1=15.0,L2=25.0。你看,不打折是有道理的吧,取10个单位(n=10)的时候,不合格还有另取20个(n=30)重新来,注意,这里是计算30个的数据,不是20个!这就是USP40 <905>关于剂量单位均匀度的规定。EP、BP和它基本相同,区别不大。一共有3个地方。
第一个地方,适用范围上,除了不适用于USP规定的皮肤给药的混悬液、乳状液、凝胶意外,还包括溶液。还提到了多种维生素、微量元素制剂,不需要做含量均匀度。
第二个地方,在WV的适用范围里,除了USP提到的四条意外,还多了一条:对于活性成分量不满足25 mg/25%限度的,同时满足下列情形可选择重量差异检测代替含量均匀度检测:a.根据过程验证和开发数据,最终剂量单位中活性成分浓度(m/m or m/V)的RSD不大于2%,b.且监管部门批准。
第三个地方,重量差异操作步骤上,多了半固体,和液体制剂操作一样。
三、标准也要要国产化!
下面我们来讲讲我们伟大的CP(中国药典)!前面已经提到,CP中是没有剂量单位均匀度这个概念的,但是含量均匀度(0941)和重量差异CP都有。不急不急,我们一个个来看。先看含量均匀度!含量均匀度是用来检查单剂量的固体、半固体和非均相液体制剂含量符合标示量的程度。(目的差不多)以下是适用范围:(国外CU适用所有)
除另有规定外,片剂、硬胶囊剂、颗粒剂或散剂等,每一个单剂标示量小于25 mg或主药含量小于每一个单剂重量25%者;
药物间或药物与辅料间采用混粉工艺制成的注射用无菌粉末;
内充非均相溶液的软胶囊;
单剂量包装的口服混悬液、透皮贴剂和栓剂等品种项下规定含量均匀度应符合要求的制剂,均应检查含量均匀度;
复方制剂仅检查符合上述条件的组分,多种维生素和微量元素一般不检查含量均匀度。
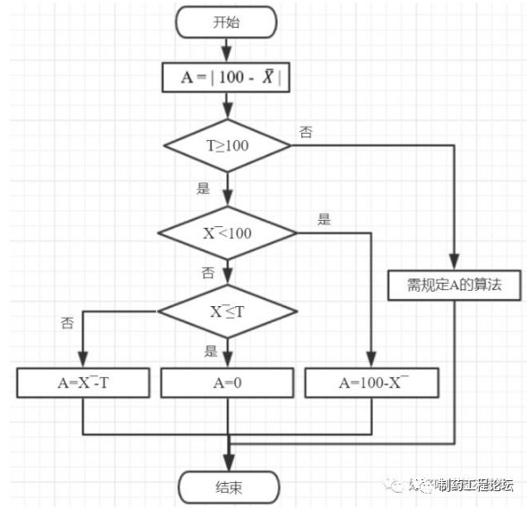
测定方法一样,取10个单位,一个一个测含量,然后计算,判定。计算和判定过程看图吧:

还是有一些注意事项的:除另有规定外,取供试品10个,照各品种项下规定的方法,分别测定每一个单剂以标示量为100的相对含量xi,求得均值X ̅和标准差S,以及标示量与均值之差的绝对值A(A=|100−X ̅|)。T为各品种正文项下含量限度规定的上下限的平均值。

除另有规定外,L=15.0;单剂量包装的口服混悬剂、内充非均相溶液的软胶囊、胶囊型或泡囊形粉雾剂、单剂量包装的眼用、耳用、鼻用混悬剂、固体或半固体制剂L=20.0;透皮贴剂、栓剂L=25.0。
此外呢,CP还提到一个概念,比例系数!使用到比例系数是有前提的,①含量测定与含量均匀度检查所用检测方法不同;②含量均匀度未能从响应值求出每一个单剂含量。计算方式:
具体我就不说了,可以看看药典。国产的重量差异和国外的是不一样的。在制剂通则中会有重量差异的检查项。我们不全说,以片剂为例:
检查的要求:按下表的规定,超出重量差异限度的不能多于2片,并不得有1片超出限度1倍。

在中国药典的制剂通则中提到重量差异的剂型有片剂、栓剂、丸剂、膜剂、锭剂、膏剂和茶剂。当然如果做了含量均匀度是可以不做重量差异的!
"我有问题问CDE"是一项帮助医药研发企业向CDE老师咨询提问的服务,也是参比购推出的一项免费特色服务,有提问需求的读者可以扫描下方二维码提交问题。

内容来源:制药工程论坛
声明:药研江湖对所有公众号产生内容保持严谨、中立的态度。文章仅供交流学习使用。如遇到内容有误,请与我们联系进行讨论和修改。(010-65104668)



